合作客戶/
拜耳公司 |
同濟大學 |
聯合大學 |
美國保潔 |
美國強生 |
瑞士羅氏 |
相關新聞Info
推薦新聞Info
-
> 溫度和碳碳雙鍵數對脂肪酸酯表面張力的影響(二)
> 溫度和碳碳雙鍵數對脂肪酸酯表面張力的影響(一)
> 二甲亞砜與二甲苯異構體混合物的體積收縮與表面張力降低效應(二)
> 二甲亞砜與二甲苯異構體混合物的體積收縮與表面張力降低效應(一)
> 表面能與表面張力對凍干制劑中“小瓶霧化”現象的影響機制研究
> 新型懸滴實驗系統的研制與二甲基亞砜/甲醇混合物表面張力測量(二)
> 新型懸滴實驗系統的研制與二甲基亞砜/甲醇混合物表面張力測量(一)
> 噻噸酮光敏劑體系:光電轉換與顯色特性的深度解析
> 溫度、締合強度、截斷半徑對球形空腔中締合流體界面張力的影響(二)
> 溫度、締合強度、截斷半徑對球形空腔中締合流體界面張力的影響(一)
裂縫性水封氣藏解封過程中潤濕反轉劑濃度、氣水界面張力變化(二)
來源:天然氣工業 瀏覽 1012 次 發布時間:2025-02-07
2裂縫性水封氣藏解封孔隙尺度模擬
在明確儲層物性、潤濕性、水封程度、裂縫壓力對解封壓差影響規律的基礎上,建立裂縫性水封氣藏解封的微觀排水孔隙尺度模型,研究壁面潤濕性、氣水界面張力和裂縫壓力對微觀氣驅排水和解封效率的影響規律,揭示解封過程的微觀排水作用機制。
2.1控制方程
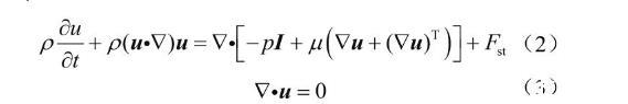
在計算流體力學中,控制方程是描述流體運動的基本數學方程。控制方程主要包括動量守恒方程(N—S方程)和質量守恒方程(連續性方程),如下所示[36]:
式中ρ表示流體密度,kg/m3;u表示速度矢量,m/s;p表示壓力,Pa;I表示單位矩陣;μ表示流體的動力黏度,mPa·s;Fst表示氣水兩相的界面張力,N/m。
2.2界面追蹤方程
為更準確地模擬微觀排水過程的氣水兩相流動行為,通過N—S方程和質量守恒方程描述多相流體流動機制,同時耦合關于相變量的界面追蹤法(水平集法、流體體積法、相場法等)追蹤氣水界面。本文采用水平集方法,該方法可以在固定網格上進行數值計算,大幅降低計算復雜度。在氣水兩相流中,引入水平集函數(φ)來定義各自的體積分數,用來描述具有一定厚度的相界面,它是一個從0到1呈梯度變化的值,其中φ=0表示流體為氣相,φ=1表示流體為水相,取φ=0.5的等值面作為相界面。水平集方法相變量的演化方程如式(4)所示,描述了微觀排水過程的氣水界面變化[37-38]。
式描述相界面的移動,其中表示時間的積累項,表示對流項,φ表示水平集函數;γ表示水平集函數重新初始化參數,m/s;ε表示界面厚度參數,m。
計算域內氣水兩相流體的全局密度和動力黏度,以滿足水平集函數的平滑階躍特性[39]:
式中ρw、ρg分別表示水、氣的密度,kg/m3;μw、μg分別是水、氣的黏度,mPa·s。
2.3邊界與初始條件
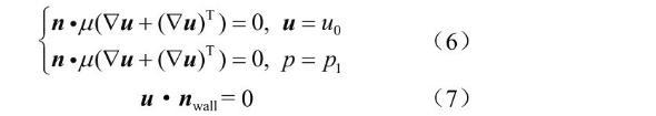
氣水兩相微觀滲流仿真中,提出以下假設條件:初始化狀態下孔隙域內全飽和為水相;左端入口面為氣相,滿足定流邊界條件,右端出口面為定壓邊界條件,入口和出口處的初始狀態方程如式(6)所示;四周為封閉邊界,無流體通過,封閉壁面的邊界條件如式(7)所示[36,40]。
式中n表示固體壁面的單位法向量;u0表示入口處的速度,m/s;p1表示出口處的壓力,Pa,nwall表示封閉邊界的單位法向量。
2.4模型建立
采用物理場數值模擬方法建立水封氣藏解封預測模型,研究氣體驅動排水過程中儲層孔隙內的氣水兩相滲流機制。首先,提出儲層真實孔隙模型建立方法:基于CT掃描技術對巖心柱進行精細成像,通過圖像處理技術獲得其灰度圖像;經過降噪、濾波、二值化等步驟,運用Avizo軟件構建出高精度的3D立體真實孔隙模型;然后,從模型中提取典型的孔喉結構(直徑143μm,長度400μm的圓柱體,與實驗巖心尺寸比例一致),導入COMSOL Multiphysics軟件以構建基礎模型。最后,通過模擬實驗實時追蹤氣水兩相界面的動態變化,探究氣水兩相滲流特征查明影響氣驅排水效果的關鍵因素,如注入速度、巖石壁面潤濕性、氣水界面張力和出口端壓力等,揭示氣驅排水過程的微觀兩相滲流機理。





