合作客戶/
拜耳公司 |
同濟大學 |
聯合大學 |
美國保潔 |
美國強生 |
瑞士羅氏 |
相關新聞Info
-
> ?表面張力測量科學:從經典原理到現代智能操作(以Kibron表面張力儀為例)
> 中性聚合物鍵合劑(NPBA)與奧克托今(HMX)界面張力測定及應用效果(一)
> 覆蓋有疏水網的開放管道液體輸運穩定性研究(上)
> 各種表面活性劑性能一覽表
> 不同濃度下甘草酸溶液界面張力的變化
> 肺內液表面張力的作用、臨床意義及測量方法(一)
> 新型POSS基雜化泡沫穩定劑表面張力測定及對泡沫壓縮性能的影響(一)
> 不同相對兩親面積的Janus顆粒在油氣表面性質和泡沫性能對比(二)
> 中性聚合物鍵合劑(NPBA)與奧克托今(HMX)界面張力測定及應用效果(三)
> 軟物質褶皺形成機制新發現:液體浸潤、表面張力與接觸線釘扎效應
推薦新聞Info
-
> 烷基糖苷表面活性劑界面張力與潤濕性相關性研究(二)
> 烷基糖苷表面活性劑界面張力與潤濕性相關性研究(一)
> 嵌段比例對溫敏聚合物表面張力的影響及臨界膠束濃度分析(五)
> 嵌段比例對溫敏聚合物表面張力的影響及臨界膠束濃度分析(四)
> 利用表面張力優化浮選工藝:調整劑AY在石英-膠磷礦分離中的活性調控(二)
> 利用表面張力優化浮選工藝:調整劑AY在石英-膠磷礦分離中的活性調控(一)
> 嵌段比例對溫敏聚合物表面張力的影響及臨界膠束濃度分析(三)
> 嵌段比例對溫敏聚合物表面張力的影響及臨界膠束濃度分析(二)
> 嵌段比例對溫敏聚合物表面張力的影響及臨界膠束濃度分析(一)
> 溫度和碳碳雙鍵數對脂肪酸酯表面張力的影響(二)
微凝膠顆粒在氣液界面處吸附動力學及動態方程研究——結果和討論、結論、致謝!
來源:上海謂載 瀏覽 2734 次 發布時間:2021-12-23
4、結果和討論
壓力-面積等溫線是通過在Langmuir槽上對擴散單分子膜進行3組不同實驗得到的。這些等溫線中的面積坐標根據吸附在界面上的顆粒數量進行縮放。如圖1所示,所有曲線都折疊到一個圖上。在增加壓縮時,壓力最初略有變化,但低于2 mm2/顆粒時,壓力急劇增加。曲線的斜率首先增加,但在約27 mN m-1處達到最大值,在此有一個拐點,然后是一個稍弱的斜率。如圖1中的虛線所示,對應于該拐點的每粒子面積(Ac)值為0.545 mm2。假設粒子緊密堆積,這對應于~835 nm的粒子間距離,遠大于在本體溶液中測量的粒子流體動力學直徑(590 nm),表明粒子確實發生了實質性變形。如圖1的插圖所示,0.5 mN m-1級的有限表面壓力(即遠高于我們的檢測極限0.1 mN m-1)實際上已經可以在約4 mm2的每粒子面積上測量。插圖還表明,在兩個不同的朗繆爾槽上進行的不同實驗之間,P的絕對值在0.3 mN m-1范圍內可重復。

圖1 PNIPAM顆粒在空氣-水界面處的壓力面積等溫線。開放符號表示與三組不同實驗相對應的實驗數據點,即:(,)具有高初始顆粒負荷的NIMA槽,(B)具有低初始顆粒負荷的NIMA槽和(D)具有高初始顆粒負荷的Kibron m槽。插圖顯示了低負荷下壓力-面積曲線的展開視圖。插圖中的虛線表示壓力傳感器的檢測極限。
在圖2中,我們給出了與圖1相同的數據,但使用G=1/(a*NAv)將其轉換為壓力與吸附量曲線,其中a是圖1中的每粒子面積,NAv是阿伏伽德羅數。該曲線表示當前系統的二維狀態方程(EOS)。在相對較低的密度(<5*10-13 mol m-2)下,壓力極低(≈1 mN m-1),但可很好地檢測到。因此,即使在粒子間距離遠大于溶液中粒子大小的低密度下,粒子仍會以某種方式相互作用。由于粒子幾乎沒有任何電泳遷移率,22,23靜電排斥不太可能是原因。唯一的其他選項是“粒子-粒子接觸”。因此,粒子在吸附到界面上時一定會發生強烈變形,這與其他作者的發現在質量上是一致的。2,3,7,8,15,24我們可以使用ansatz粗略估計變形的程度?R≈?γ/ξ.使用ξ的典型值≈文獻25,26中的50 kPa以及?γ=70mnm-1,我們發現?r=1.7μm,這與緊密堆積和完全變形顆粒之間約3μm的距離一致。我們的分析基于這樣一個假設,即我們在界面上傳播的粒子不會解吸。但即使我們考慮了顆粒的解吸,這也只意味著檢測到的有限壓力實際上對應于更低的表面濃度。圖3示出了界面處顆粒變形機制的示意性解釋。應該注意的是,在LB實驗中,顆粒分布在界面上,我們沒有任何顆粒。在界面張力測量的情況下,顆粒從本體擴散到界面。

圖2表面壓力(P)與空氣-水界面上PNIPAM顆粒吸附量(G)的關系。開放符號表示與三組不同實驗相對應的實驗數據點,即:(,)具有高初始顆粒負荷的NIMA槽,(B)具有低初始顆粒負荷的NIMA槽和(D)具有高初始顆粒負荷的Kibron m槽。紅色實線表示使用Groot和Stoyanov模型進行的預測。
圖3極低負載條件下吸附到界面時微凝膠顆粒變形的示意圖。
吸附在流體-流體界面上的顆粒相互作用并產生表面壓力(P),這是3D系統中壓力的2D模擬。通過進一步擴展這種類比,還可以通過狀態方程將表面壓力與其他狀態參數(如數密度和溫度)聯系起來。對于吸附在流體-流體界面上的膠體粒子,最簡單的近似可能是2D硬盤。單組分系統的狀態方程(EOS)是根據壓縮因子Z的密度依賴性給出的。文獻中充滿了多種方法來提供2D硬盤流體狀態方程的表達式。Mulero等人27,28簡要回顧和比較了所有這些狀態方程。
我們發現,在非常低的密度下,測量的表面壓力至少比假設在這些密度下無相互作用粒子的理想氣體的表面壓力預測高5–6個數量級。格魯特和StayaNoV13沒有明確地考慮由于表面張力引起的這些顆粒的變形。他們簡單地假設壓力主要取決于膠體顆粒內聚合物的微觀結構和組成,并引入一個新的長度標度deff,該長度標度deff旨在反映顆粒微觀結構,并將壓力放大至實驗值。然而,意識到顆粒在很大程度上擴散,我們也可以看到測量的壓力反映了顆粒的內部彈性。由于這是由交聯的2D密度給出的,因此我們發現微觀長度也就不足為奇了。
Groot和Stoyanov提出了一個表面壓力(P)表達式,該表達式考慮了粒子內這些較小相關區域的大小,如下所示:
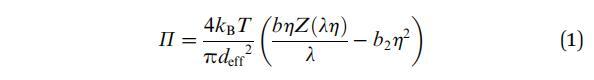
其中,deff是粒子內相關疇的大小。壓縮系數(Z)可以用文獻中的任何狀態方程表示。在我們的案例中,我們使用修改后的亨德森方程29:

式中,η是表面堆積分數,它可以用顆粒數密度(p)和單個顆粒的體積直徑(d)表示為η=(π/4)pd2。對于我們的實驗,η介于0和0.91之間。ZHM的相應值介于1和96之間。
我們將Groot和Stoyanov給出的標度關系擬合到圖2中的數據(紅色曲線)。該配件將deff=1.25 nm作為特征長度標度。為了提供物理圖像,可將該deff視為微凝膠顆粒內交聯點之間的平均距離。這與先前的研究30、31一致,該研究報告的網目尺寸范圍為1–10 nm。模型中使用的參數b和l表示由于圓盤的彈性性質而產生的排斥相互作用。對于我們的系統,b和l的值可以看作是統一的。13參數b2表示短程吸引相互作用。我們通過將參數b2作為擬合參數來檢查短程吸引相互作用的影響,但分析得出的b2值非常小(~1*10-4)。因此我們得出結論,我們有純排斥粒子。高荷載下實際數據與模型的偏差可能是因為在高壓縮下,表面不再保持平坦,而是發生平面外變形,即屈曲。此外,這些顆粒的周圍有許多松散的、未交聯的聚合物鏈段。在高壓縮條件下,這些巖段離開界面而不是相互滲透是有利的。這種部分解吸也可能導致與硬盤模型預測的偏差。
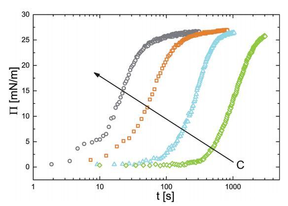
在建立了一個狀態方程來關聯表面壓力和吸附量之后,我們現在開始研究粒子的吸附動力學。為此,我們監測了PNIPAM顆粒懸浮液中新制備氣泡的界面張力隨時間的變化。我們將界面張力值轉換為表面壓力。結果如圖4所示。表面壓力值最初迅速增加,然后放松到最終平衡值。動力學可以清楚地分為兩個獨立的時間尺度:一個是表面壓力值增加表示的初始快速動力學,另一個是系統向最終平衡狀態松弛時的緩慢部分。短時間快速動力學和長時間慢得多動力學之間的區別是許多表面活性材料吸附行為的特征。32,33
在短時間尺度上,P的增加受到顆粒從塊體到界面的傳輸的限制。我們期望粒子的擴散能控制粒子的輸運。由于我們的粒子相當大,這些粒子的吸附能比kBT高3-4個數量級。因此,可以安全地假設粒子一旦被吸附就不會離開界面。在這些條件下,Ward和Tordai模型34給出:
式中,G為吸附摩爾質量,C為體積濃度,D為顆粒擴散系數。
使用圖2中獲得的實驗P vs.G曲線,我們將P(t)數據轉換為G(t)數據,然后繪制G vs.Ct1/2,如圖5所示。我們用注意力來衡量時間軸,期望曲線坍縮成一條曲線。我們觀察到的是,G的初始生長很好地遵循t 1/2依賴性。隨后,隨著系統接近飽和,長時間內G的弛豫隨濃度而減慢。圖5中的插圖顯示了不同顆粒體積濃度的單個G與t1/2曲線。實線是直線擬合到實驗數據的初始部分(開放符號)。每條曲線的初始斜率產生一個擴散系數D值。為了進行比較,繪制了虛線,其中斜率是使用動態光散射(DLS)獲得的D計算得出的(DDLS=7.29*10-13 m2 s-1)??梢钥闯?,它們與實驗曲線的偏差不大?;蛘?,我們可以根據數據的最佳擬合來確定D。表1給出了通過將直線(實線)與不同體積濃度的實驗結果擬合得到的D值,并將其與從DLS獲得的值進行比較。由此獲得的值與DLS測量值的偏差不超過10%。
表1根據實驗G與t1/2曲線計算的不同濃度的擴散系數D(m2 s-1)值與使用DLS測量的值相比
圖5吸附量(G)作為產品Ct1/2的函數。插圖顯示了不同體積濃度的微凝膠顆粒的G與t1/2的單獨曲線:(>)0.10 G l-1,(D)0.20 G l-1,(,)0.50 G l-1,(B)1.00 G l-1。實線是直線擬合,虛線是使用D=DDL計算的坡度繪制的。
當系統接近飽和時,G(t)的下降速度必須隨著表面變得擁擠而減慢。吸附質濃度剛好低于表面,然后與吸附物種失去平衡,動力學受到吸附屏障的限制。一級動力學過程會導致:
式中,k是與吸附屏障相關的速率常數。理想情況下,k應與界面下方的局部溶質濃度成比例。這會導致指數松弛:
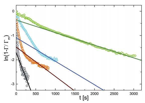
圖6表明,這種勢壘控制機制確實長期存在。開放符號是ln(1-Γ/Γmax)的實驗值。在很長的時間內,曲線擬合一條由實線表示的直線。實線的斜率可以確定為1/k的動力學弛豫時間的倒數。
圖6 ln(1-G/Gm)作為不同體積濃度微凝膠顆粒的時間函數:(>)0.10 G l-1,(D)0.20 G l-1,(,)0.50 G l-1,(B)1.00 G l-1。實線是直線擬合。
如表2所示,速率常數取決于微凝膠顆粒的體積濃度。但這種依賴性不是線性的。這可能表明吸附過程本身相當復雜,取決于界面上粒子的配置細節。對這些方面的深入分析超出了本工作的范圍。
表2根據圖6中的實驗曲線計算的各種濃度的速率常數k(1/s)值

5、結論
PNIPAM微凝膠由于其聚合物性質,易于吸附到空氣-水界面。我們已經在實驗上為吸附在空氣-水界面上的這種軟微凝膠顆粒建立了二維狀態方程。壓力-面積等溫線給出了一個可測量的壓力,即使在平均粒間距離遠大于其流體動力學直徑的情況下。這證實了粒子在界面處基本變形的事實。使用一個簡單的標度參數,我們表明,在非常低的載荷下,粒子的變形與粒子間距離的順序相同,從而產生非常小但可測量的壓力。低負荷下的壓力間接探測顆粒的內部彈性,這與內部交聯密度有關。EOS的實驗觀測符合Groot和Stoyanov提出的標度關系。由此標度關系產生的長度標度deff=1.25 nm可視為交聯之間的有效距離。在非常高的載荷下,與標度關系的偏差可歸因于界面層的屈曲或由于壓縮導致的周邊聚合物鏈段的部分解吸。
利用實驗狀態方程,我們研究了這些微凝膠顆粒在空氣-水界面上的吸附動力學。我們發現,吸附過程可以清楚地分為兩個階段。在短時間內,吸附過程由顆粒從塊體向界面擴散控制。在很長一段時間內,界面被粒子填滿,從而為新粒子吸附到界面上創造了屏障。這導致G的指數松弛。
致謝
我們要感謝Vinod Subramaniam教授讓我們使用Kibron m槽,以及Aditya Iyer先生在Kibron m槽實驗中的幫助。我們也感謝?p Arun Banpurkar感謝他的想法和討論。這項工作得到了基礎研究的物質基礎(FOM)的支持,該基金得到荷蘭科學研究組織(NWO)的資助。





