合作客戶/
拜耳公司 |
同濟大學 |
聯合大學 |
美國保潔 |
美國強生 |
瑞士羅氏 |
相關新聞Info
-
> ?印制板組裝件污染物手工清洗時,如何選擇溶劑
> 軟物質褶皺形成機制新發現:液體浸潤、表面張力與接觸線釘扎效應
> ?工藝因素對植物纖維活性發泡材料表面張力的影響
> 溫度對甜菜堿短鏈氟碳表面活性劑表面張力、鋪展、發泡性能影響(四)
> 海上抗超高溫低滲透儲層鉆開液配方設計及應用效果(一)
> 釕催化劑合成丁炔二醇醚三硅氧烷表面活性劑反應條件及表面張力測定(二)
> 3D打印鈦合金粉體的生產工藝——高速高壓氬氣氣流克服鈦合金熔體表面張力
> 致密砂巖儲層CO2-EOR項目研究重點與進展
> 連接基對3種表面活性劑GSS271、GSS371和GSS471動態表面性能的影響(下)
> 魚缸水面產生油膜的主要原因
推薦新聞Info
-
> 嵌段比例對溫敏聚合物表面張力的影響及臨界膠束濃度分析(三)
> 嵌段比例對溫敏聚合物表面張力的影響及臨界膠束濃度分析(二)
> 嵌段比例對溫敏聚合物表面張力的影響及臨界膠束濃度分析(一)
> 溫度和碳碳雙鍵數對脂肪酸酯表面張力的影響(二)
> 溫度和碳碳雙鍵數對脂肪酸酯表面張力的影響(一)
> 二甲亞砜與二甲苯異構體混合物的體積收縮與表面張力降低效應(二)
> 二甲亞砜與二甲苯異構體混合物的體積收縮與表面張力降低效應(一)
> 表面能與表面張力對凍干制劑中“小瓶霧化”現象的影響機制研究
> 新型懸滴實驗系統的研制與二甲基亞砜/甲醇混合物表面張力測量(二)
> 新型懸滴實驗系統的研制與二甲基亞砜/甲醇混合物表面張力測量(一)
表面活性劑溶液的界面擴張流變學
來源:賽杰奧 瀏覽 1981 次 發布時間:2022-09-09
本書以國家科技重大專項的科研成果為基礎,以表面活性劑溶液的界面擴張流變學研究為核心,全面介紹界面擴張流變學的概念、理論基礎、方法、儀器和數據處理,系統分析模量、相角、彈性、黏性等界面流變參數的時間、頻率和濃度依賴性與界面膜性質的關系,探討界面弛豫過程的特征參數;分類描述了陰離子表面活性劑、陽離子表面活性劑、非離子表面活性劑、兩性離子表面活性劑和Gemini表面活性劑在空氣-水和油-水界面的擴張流變性質;重點闡釋了通過界面擴張流變學研究手段獲得流體界面吸附分子相互作用及微觀行為的方式。
表面活性劑在生產實踐和日常生活中應用廣泛,它通過在溶液中形成聚集體和在界面上形成吸附膜,改變溶液和界面性質,發揮著“工業味精”的巨大作用。表面活性劑在流體界面上的吸附,與乳狀液和泡沫生成和穩定密切相關,而界面膜的強度是決定性因素。由于流體界面吸附膜與體相存在擴散交換的開放體系,對界面膜強度的有效表征一直是學術界的難題,直到流體界面流變學飛速發展,這一難題才得到根本性的解決。
表面活性劑界面擴張流變學研究在理論和實踐上均具有重要意義。理論上:長期以來,表面活性劑分子在流體界面上的吸附機制、相互作用強弱、聚集體形成等界面行為和過程中缺乏有效的研究手段,界面擴張流變學研究是探索界面微觀行為的有力工具。實踐上:界面擴張流變參數能夠表征界面吸附膜的強度,與乳狀液和泡沫的穩定性直接相關,能夠指導生產實踐。更為重要的是,界面擴張流變學研究是新興的領域,國內尚無相關專著。
在國家973計劃和國家科技重大專項的資助下,中國科學院理化技術研究所和勝利油田的聯合研究團隊在表面活性劑界面擴張流變學領域進行了長期的探索,獲得了一定的成果。將這些成果總結成書,期待為推動我國流體界面流變學的發展盡微薄之力。
流體界面擴張流變學還處于快速發展之中,因此本書主要介紹其方法和應用實例,構架復雜的新型研究手段與應用之間的橋梁,讓具有基礎化學知識的讀者掌握界面擴張流變研究手段。本書以表面活性劑溶液的界面擴張流變學研究為核心,全面介紹界面擴張流變學的基礎知識,分類描述不同類型表面活性劑在空氣-水和油-水界面的擴張流變性質;重點闡釋通過界面擴張流變學研究手段獲得流體界面吸附分子相互作用及微觀行為的方式。在本書寫作上,避免煩瑣的數學推導和理論描述,以界面擴張流變方法的物理化學意義和儀器應用為重點,強調可操作性。
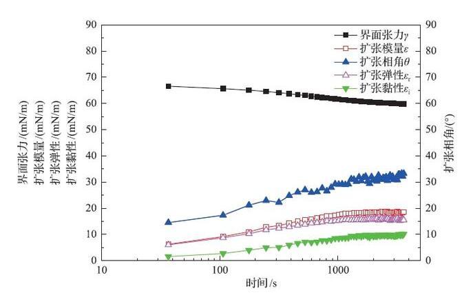
表面活性劑溶液的動態界面張力、擴張模量、擴張相角、擴張彈性和擴張黏性隨時間變化曲線
界面擴張流變參數與頻率的關系(懸掛滴方法)
界面擴張流變參數與濃度的關系(懸掛滴方法)
C16G(EO)3PC表面排布方式的變化
黑色曲線代表烷基鏈;灰色曲線代表EO基團
C16GPB表面排布方式的變化
全書共六章,在編寫過程中力求做到系統性、科學性和實用性的統一。在敘述上力求深入淺出,其主要成果來源于勝利油田化學驅技術研究及現場應用成果,同時吸收了國內外同行近年來研究的最新成果。
相關書籍:
本書可為大專院校物理化學專業的師生、提高石油采收率相關研究人員和工程技術人員提供指導,對于研究領域涉及流體界面和兩親性分子的所有研究人員也有一定的借鑒意義。
本文摘編自《表面活性劑溶液的界面擴張流變學》【曹緒龍 張 路 祝仰文 王紅艷 潘斌林 元福卿 編著.北京:科學出版社,2021.09】一書。





