合作客戶/
拜耳公司 |
同濟大學 |
聯合大學 |
美國保潔 |
美國強生 |
瑞士羅氏 |
相關新聞Info
推薦新聞Info
-
> 二甲亞砜與二甲苯異構體混合物的體積收縮與表面張力降低效應(二)
> 二甲亞砜與二甲苯異構體混合物的體積收縮與表面張力降低效應(一)
> 表面能與表面張力對凍干制劑中“小瓶霧化”現象的影響機制研究
> 新型懸滴實驗系統的研制與二甲基亞砜/甲醇混合物表面張力測量(二)
> 新型懸滴實驗系統的研制與二甲基亞砜/甲醇混合物表面張力測量(一)
> 噻噸酮光敏劑體系:光電轉換與顯色特性的深度解析
> 溫度、締合強度、截斷半徑對球形空腔中締合流體界面張力的影響(二)
> 溫度、締合強度、截斷半徑對球形空腔中締合流體界面張力的影響(一)
> 一文讀懂什么是超微量天平
> LiF-CaF?-Yb?O?熔鹽體系表面張力的測定及其對Ni-Yb合金電解的指導意義(二)
水滴的表面張力使它盡量收縮從而形成球形
來源:知乎 賈明子 瀏覽 3741 次 發布時間:2021-06-21
從高處往下倒水,為什么剛開始水是連成一條線的,往下就成了散開的水珠?有什么方法能讓水一直保持一條線?
先說結論,這是因為所謂的“Plateau–Rayleigh”不穩定性。
然后,我再試圖用大家都能聽懂的白話解釋一下。這個過程中有一個關鍵的物理現象,叫做表面張力。
表面張力,我們簡單形象地理解,可以認為流體的兩相(如氣液)界面就像是一張緊繃的皮膜,這張膜在外力的約束下,總是希望盡可能地收縮。沿著它的表面就有一種張力,就是表面張力。
如果你想用最形象的方式理解表面張力,你可以想象一個吹起來的氣球的表面:氣球的彈力使它盡量收縮從而整體形成球形。相對應地,水滴的表面張力使它盡量收縮從而形成球形。
而這里有一件非常關鍵的事請,就是由于表面張力的存在,彎曲的表面就會在兩側形成壓力差。就好像緊繃的氣球,其內部壓力要高于外部的壓力。這種壓力差來自哪里?當然就是氣球皮膜緊繃的張力。由于氣球的彎曲表面,使得其張力最終表現為內部壓力的升高。
具體講,我們對一個這樣無重力液滴做出分析,它的上半球受力受到三個力的作用:
1、內部液體在截面上對它的凈壓力;
2、外部在上半球面上對它的凈壓力
3、液滴表面受到的沿表面垂直于“斷面”的表面張力。
我們很容易就會看到,由于表面張力的存在,此時內部的壓力肯定要大于外部壓力。那么,這種壓力差的大小是由什么決定的呢?
很顯然,一個決定因素就是張力的大小:皮膜繃的越緊,所能產生的壓力差就越大。但是還有另一個很重要的因素,就是表面彎曲的程度,也就是它的曲率。我們還是用氣球做一個說明,例如下面這個氣球:
氣球內部的氣體壓力處處相等,但是,接觸過這種氣球的人都有一個經驗,就是粗的地方繃得緊,而細的地方繃得就不那么緊。如上圖所示,繃得緊的地方和繃得松的地方,產生的壓力差是相等的,但是他們的曲率是不相等的:曲率越大,同樣的張力所能產生的壓力差就更大。
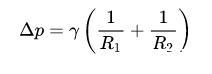
我們有一個公式可以表示這個關系,叫做楊-拉普拉斯方程(Young-Laplace equation):
其中,γ是表面張力,R1和R2分別是兩個方向上的曲率半徑。
那么,我們來看看細流的水柱為何會分散成水滴:這是因為連續的水柱狀態是不穩定的,而水滴的狀態才是穩定的。比如說,下圖是一個細流柱:
我們知道,我們的環境中總是存在著各種干擾,不論我們如何隔離,都不可能消除它:因為水柱自身就存在各種漲落。因此,這個水柱不可能是嚴格的圓柱形,它上面總是有各種“皺紋”的。事實上,現實中的擾動非常之復雜,我們不可能做出具體的分析,但是,我們總是可以把這些擾動看做是一系列正弦波的疊加(傅里葉分解),那么,我們通過對這些正弦波的分析,可以分析出這些干擾的基本特征。如下圖,一個被正弦波干擾的水柱呈這個形狀:
我們可以看到,在不同的地方,柱面的曲率都發生了變化,這種變化和表面張力一起,就導致了水柱當中不同地方內部壓力的變化。那么,我們如何判斷這種影響呢?我們說,如果A點(柱半徑縮小的地方)的壓力上升,B點壓力下降,那么:
在壓力差下,流體從A點流向B點,
流動導致A點進一步縮小,B點進一步增大
進而,A點壓力更加增加,B點的壓力更加減小
流動更加快速
……
如此循環,A點處迅速縮成0,從而崩解,也就是說,這是一種正反饋,表面張力的作用會擴大擾動,水柱不復存在。
但是,如果發生的情況相反,也就是說,擾動導致B點壓力上升,A點壓力下降,那么,水就會從B點流向A點,這是一種負反饋,表面張力的作用會抑制擾動,水柱就能維持穩定。
那么,這種擾動到底會是一種正反饋,還是負反饋呢?我們來具體分析兩點的壓力變化:
在A點,z方向上產生了負曲率(半徑RA),而r方向上,由于半徑變小,曲率變大。也就是說,A點上的曲率變化產生了兩個效果:
柱面的正弦波導致負曲率,使得A點的壓力下降;
截面的半徑變小,導致A點壓力上升。
同理,我們也可以看到,在B點,兩個效應是相反的:
柱面正弦波導致正曲率,使得B點壓力上升;
截面半徑增大,導致B點壓力下降。
也就是說,擾動導致的z方向上的正弦波曲率將會升高B點壓力,降低A點壓力,導致負反饋,水柱穩定;而擾動導致水柱粗細的變化,將會升高A點壓力,降低B點壓力,導致正反饋,水柱崩解。
從直觀上我們立刻就知道,如果水柱很細,那么截面上的曲率很大,它的影響會顯著大于正弦波的影響,那么就會是正反饋,水柱崩解;反之,如果水柱很粗,那么截面上曲率很小,起到關鍵作用的將會是正弦波造成的曲率,那么就會是負反饋,水柱穩定。
這就是為何細水柱不穩定的原因。
那么,水柱到底多細,才會不穩定呢?下面我們來簡單計算一下:
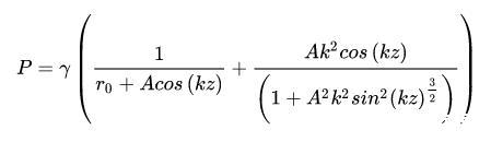
假定擾動所導致正弦波的形式如下:
這里,是未受到擾動的水柱半徑,A表征擾動的大小,而k是波數,表示擾動范圍的大小。很容易,我們可以計算出兩個方向的曲率半徑,進而根據Young-Laplace方程計算出流體內部各處的壓力(我們假定外壓為零):
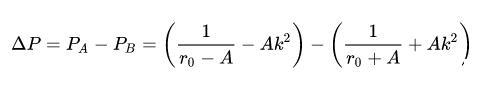
在A點,,在B點,,那么,我們可以得到:
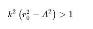
這就是擾動導致AB兩點的壓力差。根據上面的討論,當它小于0的時候,水柱就是穩定的,也就是說:
請注意,理論上,當水柱穩定的時候,它是可以抗拒任意小的擾動的,也就是說,在我們取的極限時,水柱仍然穩定。所以說,我們就得到了水柱穩定的條件如下:
從這個條件看,水柱的半徑越細,就越難滿足穩定條件,進而它就更容易崩解。
而在水向下自由流動的過程中,由于重力作用,它是在加速的,也就是說,越往下它流動速度越快,自然就會導致其越往下水柱越細:
所以,這就回答了題主的問題:
從高處往下倒水,為什么剛開始水是連成一條線,往下就成了散開的水珠?





